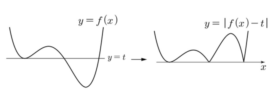
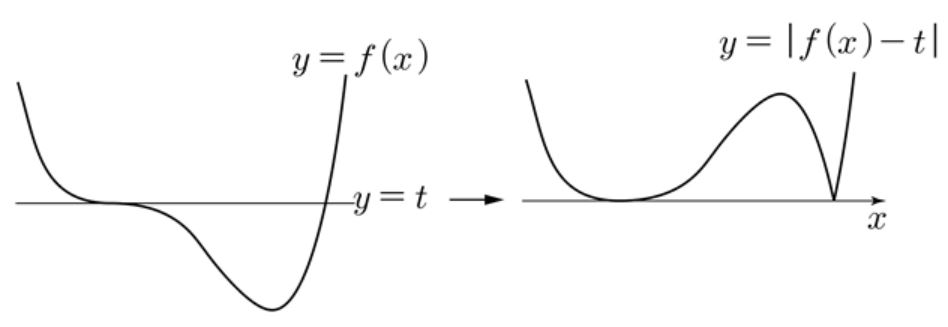
$y=\left | \; f(x)-t \; \right |$ 의 그래프의 개형
직선 $y=t$ 의 아래 부분을 꺾어 위로 올려준 꼴이다.
다른 표현으로 함수 $\left | \; f(x)-t \; \right |$ 의 그래프는 함수 $y=f(x)$ 와 함수 $y=t$ 의 함숫값의 차이를 나타내는 함수이다. 두 함수가 만나는 교점이 $x$ 축과 만나게 되고 그 점에서 극소가 된다.
함수 $\left | \; f(x)-t \; \right |$ 함수는 직선 $y=t$ 와 교점에서 꺽여 올라가기 때문에 두 함수가 만나는 교점이 어떤 형태로 만나야에 따라 미분 가능 여부가 결정되게 된다.
직선 $y=t$ 가 $y=f(x)$를 뚫고 지나가면(접하지 않고) 그 점에서는 미분이 가능하지 않게 된다.
반대로 $y=t$ 가 $y=f(x)$를 접하면(도는 접통하면) 그 점에서 미분 가능하게 된다.
그림을 그려보면서 확인해보면 직관적으로 이해할 수 있다.
(1) 삼차함수 $y=f(x)$ 와 $y=\left | \; f(x)-t \; \right |$ 의 그래프의 개형
(삼차항의 계수가 양수이고 극점이 존재하는 경우)



(2) 삼차함수 $y=f(x)$ 와 $y=\left | \; f(x)-t \; \right |$ 의 그래프의 개형
(삼차항의 계수가 양수이고 극점이 존재하지 않는 경우)



(3) 사차함수 $y=f(x)$ 와 $y=\left | \; f(x)-t \; \right |$ 의 그래프의 개형
(사차항의 계수가 양수이고 극점이 존재하지 않는 경우)



위의 그래프에서 보듯이 직선 $y=t$ 가 $y=f(x)$를 접통하지 않고 뚫고 지나가는 점에서는 미분이 가능하지 않게 된다. 반대로 접하거나 접통하는 경우는 그 점에서 미분이 가능하게 된다. 위의 예제 그래프로 확인하면 된다.
조금 더 나아가서
함수 $y=\left | \; f(x)-t \; \right |$가 미분가능하지 않는 점의 개수를 $g(t)$로 정의한 함수의 그래프의 개형을 생각해보자.
이때 함수 $g(t)$ 는 $f'(a)=0$ 일 때, $t=f(a)$ 에서 불연속이 된다.
예를 들어, 사차항의 계수가 양수인 그래프 관찰해보자.



위의 예에서 $y=f(x)$ 와 $y=t$ 가 접할 때 불연속이 된다.

| Example 1 |
함수 $f(x)=x^4 -6x^3 +12x^2 - 10x +6$ 와 실수인 상수 $t$ 에 대하여 함수 $\left | \; f(x)-t \; \right |$ 가 $x=a$ 에서만 미분가능하지 않도록 하는 $t$ 의 값과 그 때의 $a$의 값을 구하여라. |
[풀이] 그래프를 먼저 그려서 $f'(x)=0$ 이 되는 $x$ 값을 구한다.

$t=3$ 일 때, $f(a)=3$에서 $a=3$이 된다.
| Example 2 |
실수 $k$ 에 대하여 함수 $f(x)=\left | x^4 - 4x^3 + 4x^2 - k \right |$ 가 두 점에서 미분 가능하지 않을 때, 실수 $k$ 의 값을 구하여라.
[풀이] 반드시 그래프 개형으로 문제의 실마리를 찾는다.
$g(x)=x^4 - 4x^3 + 4x^2$ 이라 하면
$f(x)=\left | g(x)-k \right | $ 꼴이 된다.

그림에서 알 수 있듯이 두 점에서 미분 가능하지 않기 위해서는 $k=1$ 이면 된다.
'미분법' 카테고리의 다른 글
| 절댓값을 포함한 함수의 미분가능 4 (0) | 2022.07.30 |
|---|---|
| 절댓값을 포함한 함수의 미분가능 3 (0) | 2022.07.19 |
| 절대값을 포함한 함수의 미분가능 1 (0) | 2022.07.18 |
| 삼차함수의 비율관계 활용 (1) | 2022.07.12 |
| 분수함수 그래프 개형 II (0) | 2022.07.11 |