절댓값을 포함한 함수의 미분가능성
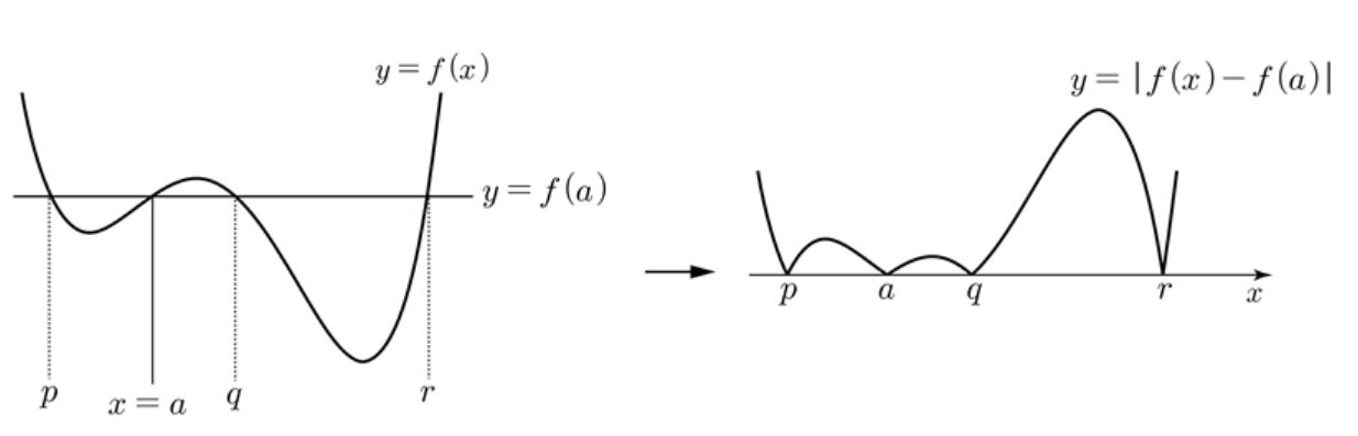
함수 $\left | f(x) - f(a) \right |$ 는 함수 $y=f(x)$ 와 직선 $y=f(a)$ 의 함숫값의 차이를 나타내는 함수이다. 따라서 두 함수가 만나는 교점에서 $y=\left | f(x) - f(a) \right |$ 는 $x$ 축과 만나게 되고 그 점에서 극소가 된다.
함수 $\left | f(x) - f(a) \right |$ 의 그래프는 $y=f(x)$와 직선 $y=f(a)$와 교점에서 $t=f(x)$ 의 그래프가 직선 $y=f(a)$ 위로 꺽여 올라가므로 두 함수가 어떤 형태로 만나냐에 따라 미분가능성이 결정된다.
직선 $y=f(a)$ 가 함수 $y=f(x)$를 (접통하지 않고 )관통하면 그 점에서 미분 가능하지 않게 된다. 반대로 직선 $y=f(a)$ 가 $y=f(x)$ 에 접하거나 접통하게 되면 그 점에서 미분가능하게 된다.
참고로 이전 글에 올렸던 $\left | f(x) - t \right |,$ 와 $\left | f(x) - f(a) \right |$ 의 차이점은
$\left | f(x) - t \right |$ 는 직선 $y=t$ 가 $x$ 에 관계없이 자유롭게 움직이지만
$\left | f(x) - f(a) \right |$ 는 직선 $y=f(a)$ 는 반드시 $x=a$에서 만난다.
그래프를 보면서 확인하도록 하자.


직선 $y=f(a)$ 와 $y=f(x)$ 가 만나는 점에서 그래프가 꺽여 올라가는 모양이 된다.
따라서, 두 함수가 만나는 교점에서 미분가능하기 위해서는 그 점에서 반드시 접해야 한다.
관통하게 되면 그 점에서 미분가능하지 않게 된다.



직선이 접통할 때는 그 점에서 미분가능하게 된다.

참고로
$\left | f(x) - f(a) \right |$ 의 미분가능하지 않는 점의 개수를 함수 $g(a)$로 정의할 때,
사차항의 계수가 양수인 사차함수 $f(x)$ 에 대해서 $g(a)$ 의 그래프의 예는 아래와 같다.

직선 $y=f(a)$ 가 $y=f(x)$의 접선기울기가 0이 되는 점을 지나갈 때 불연속이 된다.
| Example 1 |
최고차항의 계수가 1인 사차함수 $f(x)$가 $\left | f(x) - f(1) \right |$은 오직 $x=2$에서만 미분이 가능하지 않을 때, $f(3)-f(1)$의 값을 구하여라.
[풀이]

곡선 $y=f(x)$ 와 직선 $y=f(1)$ 은 , $x=1,\; 2$에서 만난다. $x=2$에서만 미분가능하지 않으므로 $x=2$ 에서 직선 $y=f(1)$ 은 곡선 $y=f(x)$ 를 관통해야한다. 즉, $x-2$ 를 반드시 인수로 갖고 $x=1$ 에서 접해야 한다. $$ \therefore \; f(x)-f(1)=(x-1)^3 (x-2)$$임을 알 수있다. $\therefore \; f(3)-f(1)=8$
| Example 2 |
최고차항의 계수가 1인 사차함수 $f(x)$ 가 다음 조건을 만족시킨다.
(가) $f'(x)=x^2 (x-2) $
(나) $f(0)<0$
함수 $\left | f(x)-f(0) \right | $ 이 $x=k$ 에서만 미분이 가능하지 않을 때, $k$ 값의 범위를 구하여라.
[풀이] 먼저 그래프로 풀이의 방향을 잡는다.
$f(x)$는 사차함수이고 $\left | f(x)-f(0) \right | $ 이 $x=k$ 에서만 미분이 가능하지 않기위해서는 $x=k$에서 직선 $y=f(0)$이 관통하고 $x=0$에서 접해야 한다.

$$\therefore\; k>2$$
'미분법' 카테고리의 다른 글
| 매개변수를 이용한 이계도함수 (0) | 2022.08.13 |
|---|---|
| 절댓값을 포함한 함수의 미분가능 4 (0) | 2022.07.30 |
| 절대값을 포함한 함수의 미분가능 2 (0) | 2022.07.19 |
| 절대값을 포함한 함수의 미분가능 1 (0) | 2022.07.18 |
| 삼차함수의 비율관계 활용 (1) | 2022.07.12 |