틀을 깨는 기발한 수학

수학 II

두 곡선으로 둘러싸인 영역의 넓이 공식

바보수학자 2022. 6. 21. 23:05
728x90

혓바닥 공식

이차함수와 $x$축과 둘러싸인 영역의 넓이 공식은

$$ \frac{\left|a \right|}{6}\left ( \beta -\alpha  \right )^{3} $$

이다. 필수 공식이다.

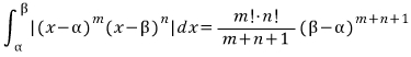
[증명]  $$  - \int_{\alpha }^{\beta } ( x -\alpha)( x-\beta)dx $$

          의 값이 $x$축과 둘러싸인 영역의 넓이가 된다.

          여기서 적분을 간편하게 할 수 있는 방법은 평행이동을 이용하는 것이다.

 

 

|| 적분의 평행이동
$$ \int_{\alpha }^{\beta } f(x)dx=  \int_{\alpha+m }^{\beta+m } f(x-m)dx $$

$$  - \int_{\alpha }^{\beta } a( x -\alpha)( x-\beta)dx $$

$$ =- \int_{\alpha-\beta  }^{0 } a(x+\beta -\alpha )xdx $$

$$ = \int_{ 0}^{\alpha-\beta } \left (a x^{2}+(\beta -\alpha)ax \right )xdx  $$

$$ =\left [ \frac{1}{3} ax^{3}+ \frac{1}{2}a(\beta -\alpha )x^{2}          \right ] _{0} ^{\alpha -\beta } $$

$$ =-\frac{1}{6}a\left ( \alpha -\beta  \right )^{3}=\frac{1}{6}a\left ( \beta- \alpha   \right )^{3} $$

 

삼차함수와 접선으로 둘러싸인 영역의 넓이 공식을 유도하는 과정이다. 공식도 기억하고 증명과정도 주목하기 바란다. 정적분의 평행이동을 연습할 수 있는 좋은 예제가 된다.

 

 

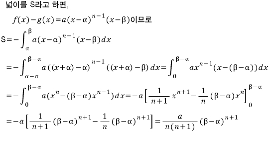
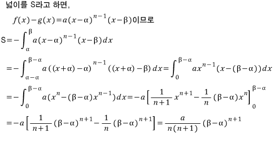
삼차함수와 접선으로 둘러싸인 부분의 넓이 공식 유도 과정

 

 

더 나아가 보자.

 

이제 끝판왕이다. 참고만 하기 바란다.

 

 

728x90